Binary Black Holes
A GENERIC Approach
Ref Bari
Advisor: Prof. Brendan Keith




Neural ODE
Training Data
ODE Solver
BFGS Optimizer
g_{\text{Newtonian}}
g_{\text{Schwarzschild}}
Neural ODE:
Training Data:
H_{pred} = \frac{1}{2}p^T g_{pred} p = \frac{1}{2}p^T [g_{Newton}+f_{NN}] p \to \dot x = L\nabla H_{pred}+M\nabla S
Before:
BFGS Optimizer:
\begin{align*}\text{min}_{\eta} \sum &(h_{pred}-h_{true})^2 \\+ &(\dot h_{pred}-\dot h_{true})^2+ (\ddot h_{pred}-\ddot h_{true})^2\end{align*}
\frac{du}{d\tau} = L \nabla H_{Schwarzschild} \to \frac{du}{dt} = \frac{du}{d\tau}\frac{d\tau}{dt} \to u(t) \to h(t)
g_{\text{Newtonian}}=\begin{pmatrix}
-(1-2/r) & 0 & 0 & 0\\
0 & (1+2/r) & 0 & 0\\
0 & 0 & r^{2}(1+2/r) & 0 \\
0 & 0 & 0 & r^{2}(1+2/r)
\end{pmatrix}
g_{\text{Schwarzschild}} = \begin{pmatrix}
-\left(1-\frac{2M}{r} \right) & 0 & 0 & 0 \\
0 & \left(1-\frac{2M}{r} \right)^{-1} & 0 & 0 \\
0 & 0 & r^2 & 0 \\
0 & 0 & 0 & r^2
\end{pmatrix}
H_{pred} = H_{Newtonian}+f_{NN}(\theta)
g_{\text{Newtonian}}=\begin{pmatrix}
-(1-2/r) & 0 & 0 & 0\\
0 & (1+2/r) & 0 & 0\\
0 & 0 & r^{2}(1+2/r) & 0 \\
0 & 0 & 0 & r^{2}(1+2/r)
\end{pmatrix}
g_{\text{Newtonian}}=\begin{pmatrix}
-(1+2\phi) & 0 & 0 & 0\\
0 & (1-2\phi) & 0 & 0\\
0 & 0 & r^{2}(1-2\phi) & 0 \\
0 & 0 & 0 & r^{2}(1-2\phi)
\end{pmatrix}
\phi = -\frac{GM}{r}\to\phi =-\frac{1}{r}
g_{\text{Newtonian}}=\begin{pmatrix}
-(1-\frac{2}{r}) & 0 & 0 & 0\\
0 & (1+\frac{2}{r}) & 0 & 0\\
0 & 0 & r^{2}(1+\frac{2}{r}) & 0 \\
0 & 0 & 0 & r^{2}(1+\frac{2}{r})
\end{pmatrix}
g_{\text{Newtonian}}=\begin{pmatrix}
-(1-\frac{2}{r}) & 0 & 0 & 0\\
0 & (1+\frac{2}{r}) & 0 & 0\\
0 & 0 & r^{2}(1+\frac{2}{r}) & 0 \\
0 & 0 & 0 & r^{2}(1+\frac{2}{r})
\end{pmatrix}
g_{\text{Schwarzschild}} = \begin{pmatrix}
-\left(1-\frac{2}{r} \right) & 0 & 0 & 0 \\
0 & \left(1-\frac{2}{r} \right)^{-1} & 0 & 0 \\
0 & 0 & r^2 & 0 \\
0 & 0 & 0 & r^2
\end{pmatrix}
g_{\text{Newtonian}}=\begin{pmatrix}
-(1-\frac{2}{r}) & 0 & 0 & 0\\
0 & (1+\frac{2}{r}) & 0 & 0\\
0 & 0 & r^{2}(1+\frac{2}{r}) & 0 \\
0 & 0 & 0 & r^{2}(1+\frac{2}{r})
\end{pmatrix}
\nabla_p p=0
\mu = 0
\mu = i
m \frac{\mathrm{~d}}{\mathrm{~d} \tau} p^0+\Gamma_{\alpha \beta}^0 p^\alpha p^\beta=0
m \frac{\mathrm{~d}}{\mathrm{~d} \tau} p^i+\Gamma_{\alpha \beta}^i p^\alpha p^\beta=0
\begin{aligned} \Gamma_{00}^0 & =\frac{1}{2} g^{00} g_{00,0} =\phi_{, 0}+0\left(\phi^2\right) \end{aligned}
\begin{aligned} \Gamma_{00}^i & =-\frac{1}{2} g_{00, j} \delta^{i j} =-\frac{1}{2}(-2 \phi)_j \delta^{i j} \end{aligned}
\dot E = 0
F=ma
g_{\text{Newtonian}}=\begin{pmatrix}
-(1-\frac{2}{r}) & 0 & 0 & 0\\
0 & (1+\frac{2}{r}) & 0 & 0\\
0 & 0 & r^{2}(1+\frac{2}{r}) & 0 \\
0 & 0 & 0 & r^{2}(1+\frac{2}{r})
\end{pmatrix}
\nabla_p p=0
g_{\text{Newtonian}}=\begin{pmatrix}
-(1-\frac{2}{r}) & 0 & 0 & 0\\
0 & (1+\frac{2}{r}) & 0 & 0\\
0 & 0 & r^{2}(1+\frac{2}{r}) & 0 \\
0 & 0 & 0 & r^{2}(1+\frac{2}{r})
\end{pmatrix}
\nabla_p p=0
\mu = 0
\mu = i
m \frac{\mathrm{~d}}{\mathrm{~d} \tau} p^0+\Gamma_{\alpha \beta}^0 p^\alpha p^\beta=0
m \frac{\mathrm{~d}}{\mathrm{~d} \tau} p^i+\Gamma_{\alpha \beta}^i p^\alpha p^\beta=0
g_{\text{Newtonian}}=\begin{pmatrix}
-(1-\frac{2}{r}) & 0 & 0 & 0\\
0 & (1+\frac{2}{r}) & 0 & 0\\
0 & 0 & r^{2}(1+\frac{2}{r}) & 0 \\
0 & 0 & 0 & r^{2}(1+\frac{2}{r})
\end{pmatrix}
\nabla_p p=0
\mu = 0
\mu = i
m \frac{\mathrm{~d}}{\mathrm{~d} \tau} p^0+\Gamma_{\alpha \beta}^0 p^\alpha p^\beta=0
m \frac{\mathrm{~d}}{\mathrm{~d} \tau} p^i+\Gamma_{\alpha \beta}^i p^\alpha p^\beta=0
\begin{aligned} \Gamma_{00}^0 & =\frac{1}{2} g^{00} g_{00,0} =\phi_{, 0}+0\left(\phi^2\right) \end{aligned}
\begin{aligned} \Gamma_{00}^i & =-\frac{1}{2} g_{00, j} \delta^{i j} =-\frac{1}{2}(-2 \phi)_j \delta^{i j} \end{aligned}
g_{\text{Newtonian}}=\begin{pmatrix}
-(1-\frac{2}{r}) & 0 & 0 & 0\\
0 & (1+\frac{2}{r}) & 0 & 0\\
0 & 0 & r^{2}(1+\frac{2}{r}) & 0 \\
0 & 0 & 0 & r^{2}(1+\frac{2}{r})
\end{pmatrix}
\nabla_p p=0
\mu = 0
\mu = i
m \frac{\mathrm{~d}}{\mathrm{~d} \tau} p^0+\Gamma_{\alpha \beta}^0 p^\alpha p^\beta=0
m \frac{\mathrm{~d}}{\mathrm{~d} \tau} p^i+\Gamma_{\alpha \beta}^i p^\alpha p^\beta=0
\begin{aligned} \Gamma_{00}^0 & =\frac{1}{2} g^{00} g_{00,0} =\phi_{, 0}+0\left(\phi^2\right) \end{aligned}
\begin{aligned} \Gamma_{00}^i & =-\frac{1}{2} g_{00, j} \delta^{i j} =-\frac{1}{2}(-2 \phi)_j \delta^{i j} \end{aligned}
\frac{\mathrm{d}}{\mathrm{d} \tau} p^0=-m \frac{\partial \phi}{\partial \tau}
\frac{d}{d\tau}p^i=-m \phi_j \delta^{i j}
g_{\text{Newtonian}}=\begin{pmatrix}
-(1-\frac{2}{r}) & 0 & 0 & 0\\
0 & (1+\frac{2}{r}) & 0 & 0\\
0 & 0 & r^{2}(1+\frac{2}{r}) & 0 \\
0 & 0 & 0 & r^{2}(1+\frac{2}{r})
\end{pmatrix}
\nabla_p p=0
\mu = 0
\mu = i
m \frac{\mathrm{~d}}{\mathrm{~d} \tau} p^0+\Gamma_{\alpha \beta}^0 p^\alpha p^\beta=0
m \frac{\mathrm{~d}}{\mathrm{~d} \tau} p^i+\Gamma_{\alpha \beta}^i p^\alpha p^\beta=0
\begin{aligned} \Gamma_{00}^0 & =\frac{1}{2} g^{00} g_{00,0} =\phi_{, 0}+0\left(\phi^2\right) \end{aligned}
\begin{aligned} \Gamma_{00}^i & =-\frac{1}{2} g_{00, j} \delta^{i j} =-\frac{1}{2}(-2 \phi)_j \delta^{i j} \end{aligned}
\frac{\mathrm{d}}{\mathrm{d} \tau} p^0=-m \frac{\partial \phi}{\partial \tau}
\frac{d}{d\tau}p^i=-m \phi_j \delta^{i j}
g_{\text{Newtonian}}=\begin{pmatrix}
-(1-\frac{2}{r}) & 0 & 0 & 0\\
0 & (1+\frac{2}{r}) & 0 & 0\\
0 & 0 & r^{2}(1+\frac{2}{r}) & 0 \\
0 & 0 & 0 & r^{2}(1+\frac{2}{r})
\end{pmatrix}
\nabla_p p=0
\mu = 0
\mu = i
m \frac{\mathrm{~d}}{\mathrm{~d} \tau} p^0+\Gamma_{\alpha \beta}^0 p^\alpha p^\beta=0
m \frac{\mathrm{~d}}{\mathrm{~d} \tau} p^i+\Gamma_{\alpha \beta}^i p^\alpha p^\beta=0
\begin{aligned} \Gamma_{00}^0 & =\frac{1}{2} g^{00} g_{00,0} =\phi_{, 0}+0\left(\phi^2\right) \end{aligned}
\begin{aligned} \Gamma_{00}^i & =-\frac{1}{2} g_{00, j} \delta^{i j} =-\frac{1}{2}(-2 \phi)_j \delta^{i j} \end{aligned}
\dot E = 0
F=ma
g_{\text{Newtonian}}=\begin{pmatrix}
-(1-\frac{2}{r}) & 0 & 0 & 0\\
0 & (1+\frac{2}{r}) & 0 & 0\\
0 & 0 & r^{2}(1+\frac{2}{r}) & 0 \\
0 & 0 & 0 & r^{2}(1+\frac{2}{r})
\end{pmatrix}
m \frac{\mathrm{~d}}{\mathrm{~d} \tau} p^0+\Gamma_{\alpha \beta}^0 p^\alpha p^\beta=0
m \frac{\mathrm{~d}}{\mathrm{~d} \tau} p^i+\Gamma_{\alpha \beta}^i p^\alpha p^\beta=0
\begin{aligned} \Gamma_{00}^0 & =\frac{1}{2} g^{00} g_{00,0} =\phi_{, 0}+0\left(\phi^2\right) \end{aligned}
\begin{aligned} \Gamma_{00}^i & =-\frac{1}{2} g_{00, j} \delta^{i j} =-\frac{1}{2}(-2 \phi)_j \delta^{i j} \end{aligned}
g_{\text{Schwarzschild}} = \begin{pmatrix}
-\left(1-\frac{2}{r} \right) & 0 & 0 & 0 \\
0 & \left(1-\frac{2}{r} \right)^{-1} & 0 & 0 \\
0 & 0 & r^2 & 0 \\
0 & 0 & 0 & r^2
\end{pmatrix}
\dot{E}=\frac{32}{5}\left(\frac{\mu}{M}\right)^2 p^{-5}\left(1-e^2\right)^{3 / 2}\left(1+\frac{73}{24} e^2+\frac{37}{96} e^4\right)
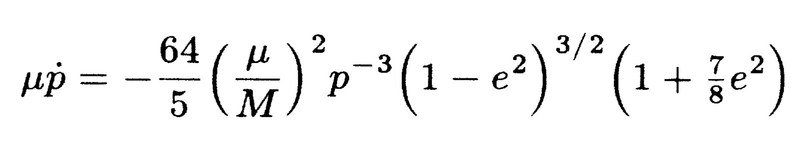
\dot{L} =\frac{32}{5}M\left(\frac{\mu}{M}\right)^2 p^{-7 / 2}\left(1-e^2\right)^{3 / 2}\left(1+\frac{7}{8} e^2\right)
\mu \dot{p}=-\frac{64}{5}\left(\frac{\mu}{M}\right)^2 p^{-3}\left(1-e^2\right)^{3 / 2}\left(1+\frac{7}{8} e^2\right)
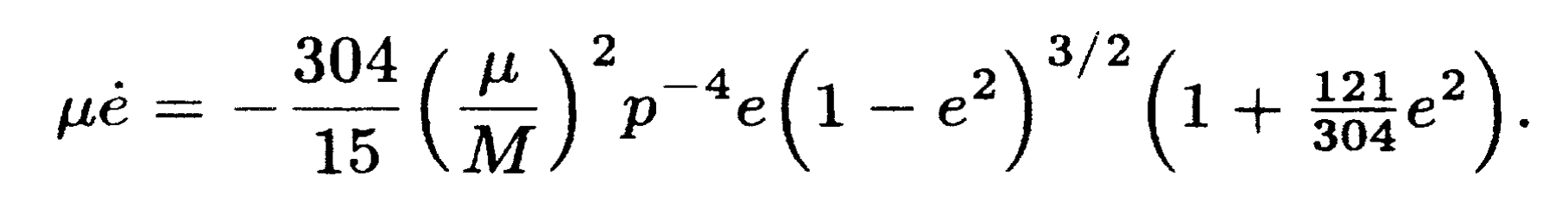
\mu \dot{e}=-\frac{304}{15}\left(\frac{\mu}{M}\right)^2 p^{-4} e\left(1-e^2\right)^{3 / 2}\left(1+\frac{121}{304} e^2\right)
\dot{E}=\dot{E}(p, e)
\dot{L} =\dot{L}(p,e)
\dot{p}=\dot{p}(p,e)
\dot{e}=\dot{e}(p, e)
\dot{E}=\dot{E}(p(t), e(t))
\dot{L} =\dot{L}(p(t),e(t))
\dot{p}=\dot{p}(p,e)\to p=p(t)
\dot{e}=\dot{e}(p, e)\to e = e(t)
\dot{E}=\dot{E}(p(t), e(t))
\dot{L} =\dot{L}(p(t),e(t))
p(t)
e(t)
p(t)
e(t)
\dot{E}=\dot{E}(p(t), e(t))
\dot{L} =\dot{L}(p(t),e(t))
p(t)
e(t)
p(t)
e(t)
\dot{E}=\dot{E}(p(t), e(t))\to E=E(t)
p(t)
e(t)
\dot{L} =\dot{L}(p(t),e(t)) \to L=L(t)
p(t)
e(t)
\dot{E}=\dot{E}(p(t), e(t))\to E=E(t)
p(t)
e(t)
\dot{L} =\dot{L}(p(t),e(t)) \to L=L(t)
p(t)
e(t)
\frac{dr}{d\tau} = \left(1-\frac{2M}{r}\right){p_r}
\frac{d\phi}{d\tau} = \frac{L}{r^2}
H
\dot{E}=\dot{E}(p(t), e(t))\to E=E(t)
p(t)
e(t)
\dot{L} =\dot{L}(p(t),e(t)) \to L=L(t)
p(t)
e(t)
\frac{dr}{dt} = \left(1-\frac{2M}{r}\right){p_r}\cdot \left(1-\frac{2M}{r}\right)E^{-1}
\frac{d\phi}{dt} = \frac{L}{r^2}\cdot \left(1-\frac{2M}{r}\right)E^{-1}
H
\dot{E}=\dot{E}(p(t), e(t))\to E=E(t)
p(t)
e(t)
\dot{L} =\dot{L}(p(t),e(t)) \to L=L(t)
p(t)
e(t)
\frac{dr}{dt} = \left(1-\frac{2M}{r}\right){p_r}\cdot \left(1-\frac{2M}{r}\right)E^{-1}
\frac{d\phi}{dt} = \frac{L}{r^2}\cdot \left(1-\frac{2M}{r}\right)E^{-1}
H
E
E
E
L
L
\dot p_t\neq0
\dot p_\phi\neq0
x = \{ q, p, \hat E \}, (\hat E = TS)
p
e
p>6+2e
x = \{ q, p, \hat E \}, (\hat E = TS)
p
e
p>6+2e


\{p,e \} \to \{E,L \}
u_0=[t, r, \theta, \phi, p_t, p_r, p_\theta, p_\phi]
u_0=[0, r_a, \pi/2, 0, E_0, 0, 0, L_0/r_a^2]
Binary Black Holes | 07/31 Update
By Ref Bari
Binary Black Holes | 07/31 Update
- 209