Black Hole Explorer Satellite
Ref Bari
Black Holes
Black Holes: An Intro

Imaging a Black Hole

Imaging the Photon Ring

BHEX 2.0?

Black Holes
Black Holes: An Intro

Imaging a Black Hole

Imaging the Photon Ring

BHEX 2.0?

Black Holes: An Intro

Black Holes: An Intro


Black Holes: An Intro

Black Holes: An Intro

Black Holes: Anatomy

Event Horizon
Singularity
Black Holes: Anatomy

Event Horizon
Singularity
Photon Sphere
Black Holes: No-Hair Theorem

Black Holes: Mass

Black Holes: An Intro

Black Holes: Charge

Black Holes: Charge

Black Holes: Charge

Black Holes: Charge

Black Holes: An Intro

Black Holes: Spin

Black Holes: Spin

Black Holes: Spin

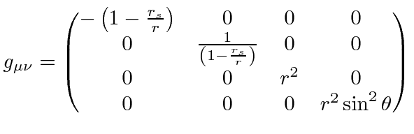
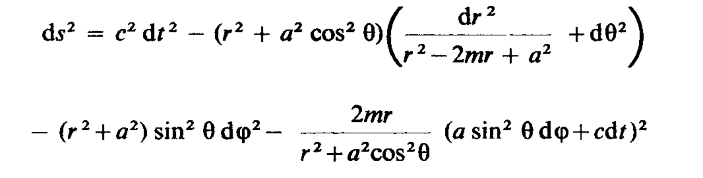
Kerr Metric
Black Holes: Spin

Kerr Metric
Black Holes: Spin

Kerr Metric
Stretched Event Horizon
Ring Singularity
Black Holes: Accretion Disk


Black Holes: Accretion Disk


Black Holes: Accretion Disk


Innermost Stable Circular Orbit
Black Holes: Orbits


Black Holes: An Intro


Black Holes: An Intro


Black Holes: An Intro

Black Holes: An Intro

Black Holes: An Intro

Black Holes: An Intro

Black Holes: An Intro

Black Holes: An Intro

Black Holes: An Intro

Black Holes: An Intro

Black Holes: An Intro

Black Holes: An Intro



Black Holes: An Intro






Black Holes: An Intro






Black Holes: An Intro


Black Holes: An Intro



Black Holes: An Intro




Black Holes: An Intro




(1915)
Albert Einstein
Black Holes: An Intro

(1916)


Black Holes: An Intro

(1916)


Karl Schwarschild

Black Holes: An Intro

(1939)


Robert Oppenheimer
Black Holes: An Intro

(1960)


Roy Kerr

Black Holes: An Intro



(1975)
Stephen Hawking
Black Holes: An Intro

(1998)

Andrea Ghez
Black Holes: An Intro

(2015)
LIGO Collaboration

Black Holes: An Intro



(2017)
Event Horizon Telescope (EHT)
Black Holes: An Intro

(2031)
Black Hole Explorer Satellite (BHEX) Mission



Black Holes: An Intro

BHEX


EHT

LIGO







Penrose
Ghez
Einstein
Schwarschild
Oppenheimer
Kerr
Hawking
Black Holes: An Intro

BHEX


EHT

LIGO







Penrose
Ghez
Einstein
Schwarschild
Oppenheimer
Kerr
Hawking




Black Holes: An Intro

Imaging a Black Hole

Imaging the Photon Ring

BHEX 2.0?

Black Holes
Black Holes: An Intro

Imaging a Black Hole

Imaging the Photon Ring

BHEX 2.0?

Black Holes
Black Holes: An Intro
Imaging a Black Hole


Black Holes: An Intro
Imaging a Black Hole

Black Holes: An Intro
Imaging a Black Hole

Imaging a Black Hole

Imaging a Black Hole

Imaging a Black Hole

Imaging a Black Hole

Imaging a Black Hole

Imaging a Black Hole

Imaging a Black Hole


Imaging a Black Hole

Imaging a Black Hole


Imaging a Black Hole


Imaging a Black Hole


Imaging a Black Hole


Imaging a Black Hole


Imaging a Black Hole


Imaging a Black Hole


Imaging a Black Hole


Imaging a Black Hole


Imaging a Black Hole


Imaging a Black Hole


Imaging a Black Hole


Imaging a Black Hole


Imaging a Black Hole

Imaging a Black Hole

Black Holes: An Intro

Imaging the Photon Ring

BHEX 2.0?

Black Holes
Imaging a Black Hole

Black Holes: An Intro

Imaging the Photon Ring

BHEX 2.0?

Black Holes
Imaging the Photon Ring


Imaging the Photon Ring

(1) What would be the data transmission rate?
(2) How big would the radio antenna be? How does angular resolution scale with the antenna's diameter? How does the thermal noise scale with the diameter?
(3) What kind of cryocooler can maintain the antenna at low temperatures?
(4) How would you protect the satellite against radiation effects?
Imaging the Photon Ring


Imaging the Photon Ring


Imaging the Photon Ring



Imaging the Photon Ring


A Potential Smallsat



3. Ivy Space Coalition

Black Hole Explorer Satellite
By Ref Bari
Black Hole Explorer Satellite
- 242