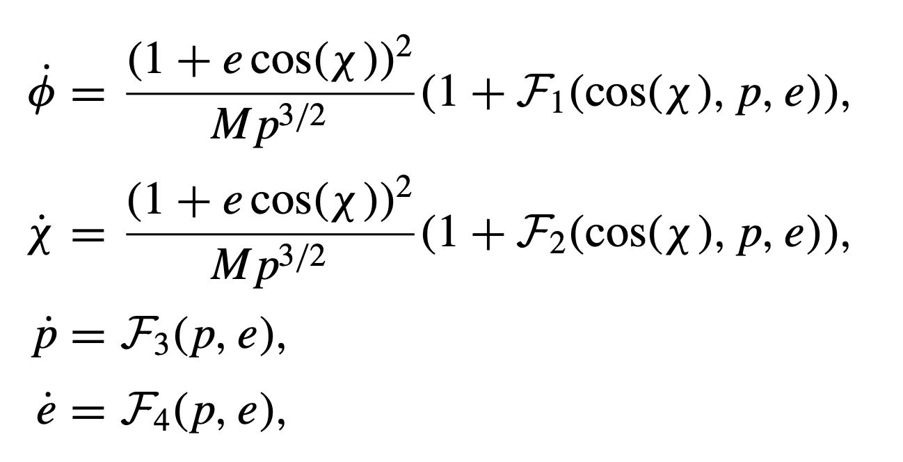
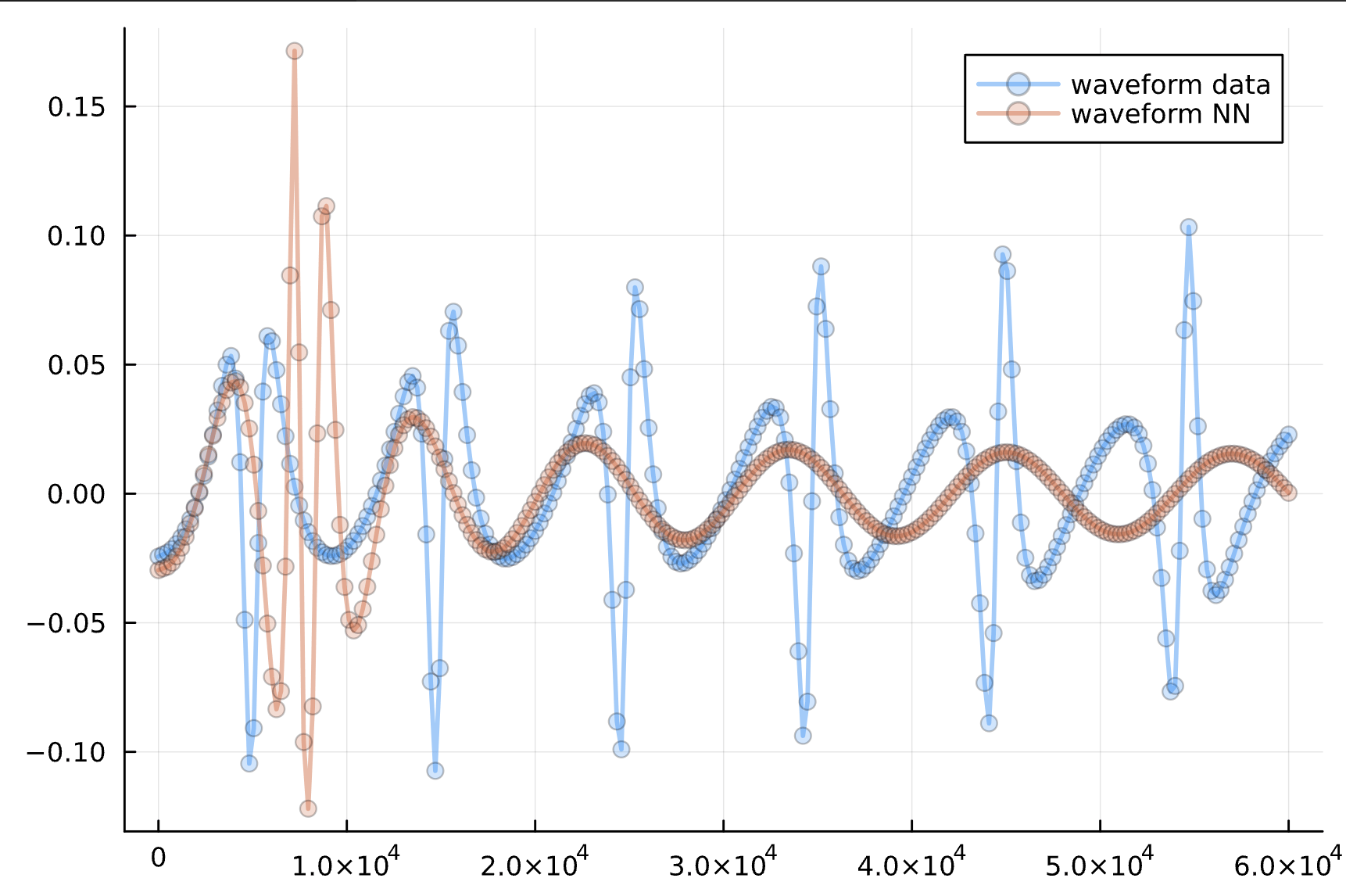
The Music of Black Holes

Ref Bari

?

!

Geometric Optics near a Black Hole

Prototype Hawking Radiation

Water World Exoplanets

Thanks.

The Music of Black Holes

By Ref Bari

The Music of Black Holes

  • 272