
Einstein's gravity
What must be kept
Einstein's gravity
What can we change
Einstein-Hilbert action
Schwarzschild solution and its Newtonian limit

That is also why we are free to add a ~Λ term
Einstein's gravity
Problems
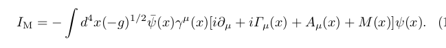
Einstein's equations
Work very well in Solar System scales, but when we extrapolate to:
- Galactic scales ---> Dark Matter problem.
- Cosmological scales ---> Dark Energy / Λ problem.
- Strong gravity ---> Singularities.
- Quantization ---> Not renormalizable.
Weyl / Conformal transformation
The EH action is not invariant under this transformation,
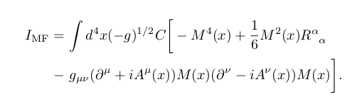
however there is unique action given by
which is conformally invariant.
Why should we care about Weyl invariance?
Supose we have a free massless fermion
Imposing invariance under local phase transformations,
Covariant derivative
"Photon"
gives us electromagnetism.
Why should we care about Weyl invariance?
Similarly, if we ask the theory to be invariant under local coordinate transformations,
Lorentz transformation
we then need a new field,
, which gives us local Weyl invariance for free!


If we then evaluate Feynman's path integral, the effective action is
Conformal gravity action !
Now, what happens if we have a massive fermion?
Standard Model
If we ignore the mass ( i.e. Higgs field), then the Standard Model is conformally invariant.
However, mass and length scale break conformal invariance. The mass is generated through the dynamics of the Higgs field

Conformal gravity

path integral formalism again...

We get a Higgs potential with the Ricci scalar being the one thats gives it the Mexican hat shape!
Quantization
Unitless ----> Theory is renormalizable
Quantization
If gravity is quantized, then
So the vacuum solution is no longer
but rather
Quantization

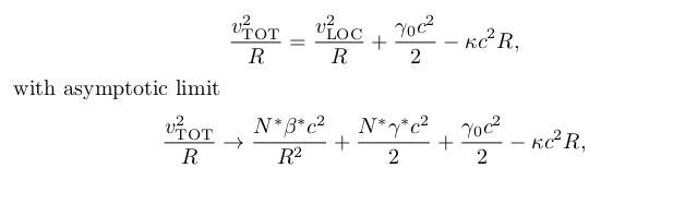
Dark matter


This integrates the entire Universe.
Dark matter

Value given by the Solar System

Contribution from the whole universe
Dark matter

138 galaxies fitted with two free parameters.

Dark energy

Conformal Gravity
By arnauqb
Conformal Gravity
Making the case for conformal gravity (2012).
- 818