Determinants of human versus mosquito cell entry by Chikungunya virus envelope

 

Jesse Bloom

Fred Hutch Cancer Center / HHMI

 

Chikungunya virus (CHIKV) is mosquito-borne virus that causes fever and joint pain

  • CHIKV is an alphavirus
  • Transmitted by Aedes aegypti and Aedes albopictus mosquitoes
  • Causes severe joint pain and swelling

New outbreaks are growing due to climate-change induced spread of mosquito hosts

As part of its transmission cycle, CHIKV infects both mosquito and human hosts

CHIKV enters cells via its envelope proteins, which are synthesized as a polyprotein

Envelope proteins are E3-E2-6K-E1

E2 is primary receptor binding protein

E1 is type II fusion protein

E2 and E1 form trimers in mature protein

Receptor in human cells is Mxra8, the receptor in mosquito cells is unknown

Defining host-specific sequence determinants of cell entry

Pseudovirus deep mutational scanning

Create library of lentiviral particles (pseudoviruses) each expressing different envelope proteins mutant on its surface.

 

These pseudoviruses encode a nucleotide barcode in their genomes identifying its envelope proteins mutant.

 

The pseudoviruses can only undergo a single round of cell entry, and so are not human pathogens and can be safely studied at biosafety-level-2.

Each lentiviral genome encodes a protein mutant followed by a barcode

Lentiviral genomes encode no viral proteins other than the CHIKV envelope proteins, and so cannot undergo multi-cycle replication

Barcoded pseudovirus library produced via two-step process

Two-step process needed to create genotype-phenotype link because transfected cells take up many plasmids and lentviruses pseudodiploid

Barcoded pseudovirus library produced via two-step process

Barcodes linked to protein variants after integration into cells due to lentiviral recombination

Measurement of how well each mutant can enter Mxra8-expressing cells

Protein mutants have a range of abilities to enter cells

A more negative score means worse cell entry

How nearly all mutations affect cell entry

How nearly all mutations affect cell entry

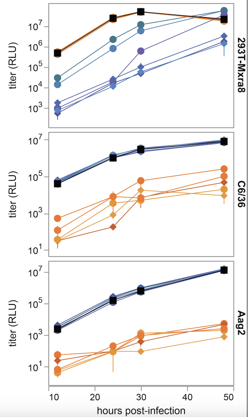
How do mutations affect entry in different cell lines?

293T-Mxra8 cells: Human cells expressing the known human receptor.

 

293T-TIM1 cells: Human cells expressing TIM1, which enables envelope-protein independent cell binding via virion associated phosphatidylserine.

 

C6/36 cells: Aedes albopictus mosquito cell line, does not express either Mxra8 (not present in mosquitoes) or TIM1.

Most mutations similarly affect entry in all three cells, but some cell-specific effects

Some mutations are better tolerated in 293T-TIM1 cells (which enable envelope-proteins independent cell binding), especially in the E2 receptor binding protein.

Mutations worse for entry in 293T-Mxra8 vs 293T-TIM1 cells are near Mxra8 in structure

Mosquito receptor unknown, but can see where mutations impair C6/36 entry

Two views of E2 and E1 with sites where mutations worse for entry in C6/36 vs 293T-TIM1 cells in red. The human receptor (Mxra8) is shown in two binding modes in light cartoon.

To validate the pseudovirus results, we first used alphavirus reporter particles

Transfecting cells with above plasmids produces alphavirus particles, but they do not encode structural proteins (capsid and envelope), so can only enter cells once.

Mutations impair entry in Mxra8-expressing human or mosquito cells

Mxra8-expressing human cells

mosquito cells

After confirming mutations were loss-of-tropism in pseudovirus and reporter particles, we engineered them into replicative CHIKV

Replicative loss-of-tropism CHIKV mutants in human or mosquito cells

Mxra8-expressing human cells

mosquito cells

Conclusions

We measured how all mutations to the CHIKV envelope proteins affected entry in three different cells.

 

Although we still do not know the mosquito receptor, we identified which mutations specifically impair human versus mosquito cell entry.

 

We used this information to rationally design CHIKV mutants that could only infect human or mosquito cells.

 

These loss-of-tropism mutants are potential vaccine candidates, and our data can also be used to engineer the envelope proteins as immunogens.

Thanks

Will Hannon

Caelan Radford

Brendan Larsen

Bloom lab

Washington University

Michael Diamond

Daved Fremont

Ofer Zimmerman

Tomasz Kaszuba

Chris Nelson

Israel Baltazar-Perez

Samantha Nelson

Read the paper:

 Xu et al (2025) 

chikv-e-host-dms

By Jesse Bloom

chikv-e-host-dms

Pseudovirus deep mutational scanning of the CHIKV envelope proteins in different cell lines

  • 943